22-23年茅沙塘村环境整治工程
项目申报表
项目编号
QT20250124006
经办人
胡建荣
项目状态
竣工
项目类型
其它项目
支付类型
村社区支付
经办人联系电话
13862607917
责任人
盛建平
申报单位
茅沙塘村
申请日期
2025/1/24 14:03:02
投资估算(元)
1600000
预计开工日期
2022-12-28
预计竣工日期
2023-12-27
申报内容
22-23年茅沙塘村环境整治项目,对位于茅沙塘村区域内的自然村上的私搭违建、堆放杂物、随意养殖、种植等环境脏乱差现象进行环境整治清理。预算金额约1600000元。
两委会会议纪要、现场照片及签到表
建设前照片
听证会会议纪要
村务监督委员会监督确认
序号
监督步骤
监督委员会
监督内容
监督时间
监督状态
1
申请
茅沙塘村村务监督委员会
22-23年茅沙塘村环境整治项目,对位于茅沙塘村区域内的自然村上的私搭违建、堆放杂物、随意养殖、种植等环境脏乱差现象进行环境整治清理。预算金额约1600000元。
2025/1/24 14:04:56
同意
项目审批
序号
步骤名
发送对象
发送时间
处理对象
处理时间
处理内容
是否处理
1
备案
茅沙塘村
2025/1/24 14:04:03
巴城镇农村工作局
2025/1/25 12:01:31
拟同意,按照相关程序办理实施。
已处理
2
审批
巴城镇农村工作局
2025/1/25 12:01:31
茅沙塘村
2025/2/13 8:57:51
已处理
项目招标
中标单位
昆山市龙鑫建筑安装有限公司
中标金额
1589826.52
中标时间
2022-12-14
法人
俞伯兴
法人电话
13306260179
项目负责人
王绍斌
负责人电话
13306260179
开标现场情况表
开标现场照片
项目合同
村务监督委员会监督确认
项目验收
项目名称
22-23年茅沙塘村环境整治工程
验收单号
YS20250213001
验收状态
竣工验收
验收日期
2024-08-10
办理日期
2025-02-13
联系人
胡建荣
联系电话
13862607917
经办人
胡建荣
验收意见
同意
验收记录表
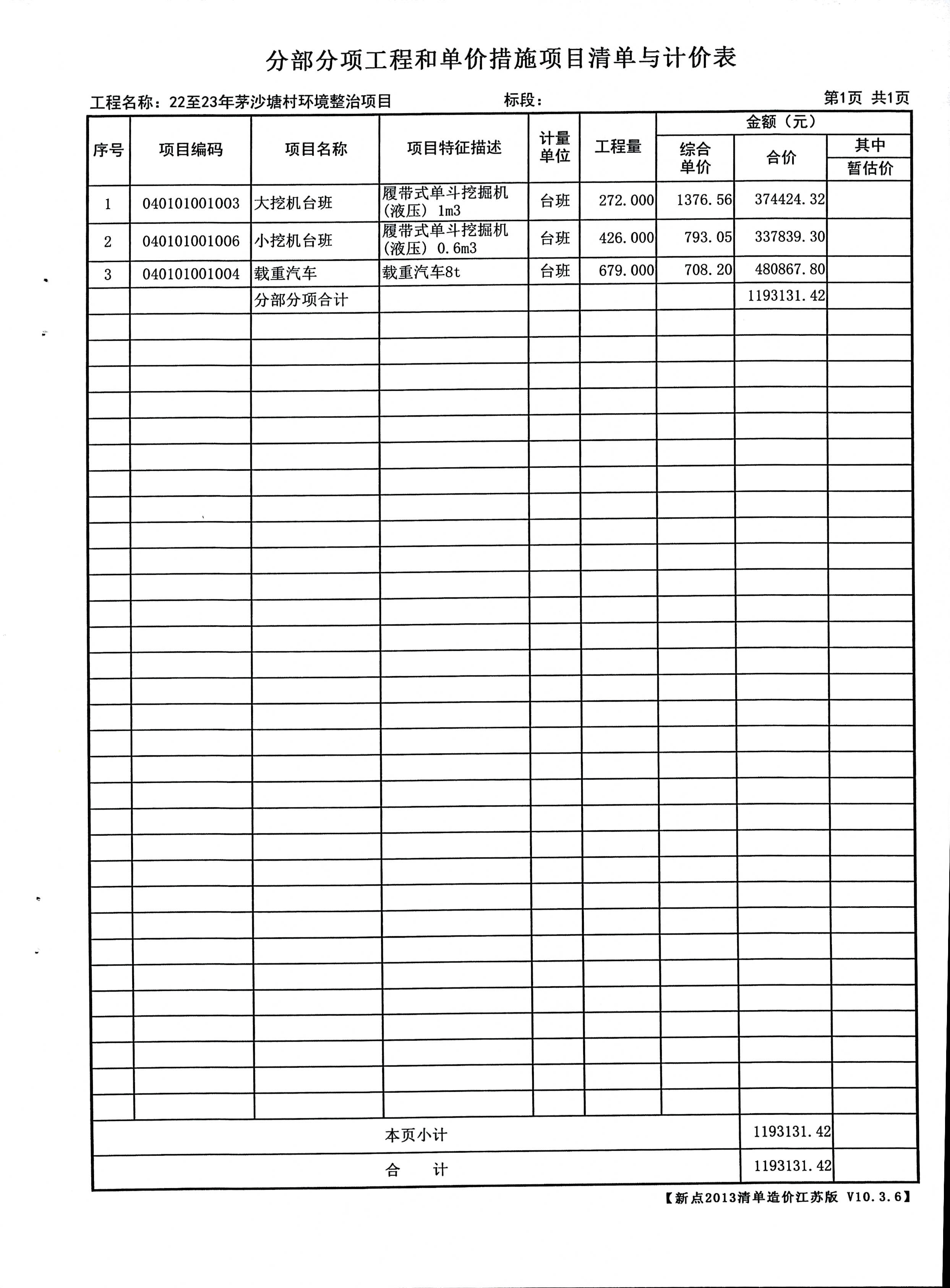
工程量计量表
完工后照片
考评得分汇总表
村务监督委员会监督确认
序号
监督步骤
监督委员会
监督内容
监督时间
监督状态
1
验收(YS20250213001)
茅沙塘村村务监督委员会
22-23年茅沙塘村环境整治项目,对位于茅沙塘村区域内的自然村上的私搭违建、堆放杂物、随意养殖、种植等环境脏乱差现象进行环境整治清理。
2025/2/13 9:33:20
同意
项目支付
项目名称
22-23年茅沙塘村环境整治工程
支付单号
ZF20250213001
审定金额
1447333.22
本次支付金额
1447333.22
未付金额
0
收款单位
昆山市龙鑫建筑安装有限公司
申请日期
2025-02-13
经办人
胡建荣
审批人
审批时间
2025-02-13
审批状态
未审批
审批意见
备注
工程结算审定单
申请
通报
备案
审批
议标
在建
竣工
支付
完工